-
" Notre civilisation tant vantée est née dans le sang, est imbibée de sang." Jack London
-
"On ne peut signer qu’avec le sang. " Antoine de Saint-Exupéry
-
" Le sang est plus épais que l’eau." Ce proverbe est d'origine australienne.
Masood R, Dev V, Gee M, Finch K, Fletcher DM, Bamidele O, Traunter J, Allsup D, Guinn BA. How should abnormal uterine bleeding be managed in people with bleeding disorders: a systematic review of the literature and thematic synthesis.
Comment gérer les saignements utérins anormaux chez les personnes atteintes de troubles de la coagulation : revue systématique de la littérature et synthèse thématique
Res Pract Thromb Haemost. 2025 Sep 1;9(6):103167. doi: 10.1016/j.rpth.2025.103167. PMID: 41050634; PMCID: PMC12495142.https://pmc.ncbi.nlm.nih.gov/articles/PMC12495142/
Les saignements utérins anormaux (SUA) désignent tout saignement utérin anormal qui s'écarte de la norme en termes de régularité, de durée ou de volume. Les SUA sont une affection fréquente qui peut significativement affecter la qualité de vie. Bien que les troubles héréditaires de la coagulation (MICI) puissent provoquer des saignements menstruels abondants, il n'existe pas de consensus clair sur la meilleure prise en charge des SUA chez ces patientes. Cette étude visait à combler ce manque de connaissances en s'appuyant sur des données probantes issues de constatations cliniques afin de définir la meilleure prise en charge des SUA chez les patientes atteintes de MICI, par une revue systématique de la littérature. Des recherches ont été menées sur les articles publiés entre le 1er janvier 2000 et le 6 mai 2024 dans les bases de données Embase (PubMed), Medline, Scopus, Cochrane Library, Google Scholar et le Cumulative Index to Nursing and Allied Health Literature (CLI) via les bases de données de la société Elton B. Stephens. Au total, 244 études ont été évaluées pour leur éligibilité selon des critères d'inclusion et d'exclusion. Les études incluses ont été évaluées quant au risque de biais et à l'assurance qualité à l'aide de l'échelle Newcastle-Ottawa. Les données ont ensuite été systématiquement codées afin de générer des thèmes descriptifs et analytiques. Treize études, portant sur plus de 893 participants, ont été incluses dans la synthèse thématique. Cette synthèse a identifié les traitements hormonaux, tels que le dispositif intra-utérin libérant du lévonorgestrel (DIU-LNG), comme étant largement efficaces dans la prise en charge des symptômes des SUA dans les MICI. Le traitement des patientes atteintes de SUA par DIU-LNG, suivi d'acide tranexamique ou de 1-désamino-8-d-arginine vasopressine (DDAVP), a généralement conduit à une aménorrhée. L'utilisation du DIU-LNG en traitement de première intention est recommandée pour les SUA, suivie d'une association de traitements tels que l'acide tranexamique et la desmopressine. Nous avons identifié la nécessité de renforcer la communication entre les spécialistes concernés dans la prise en charge des SUA et des MICI.

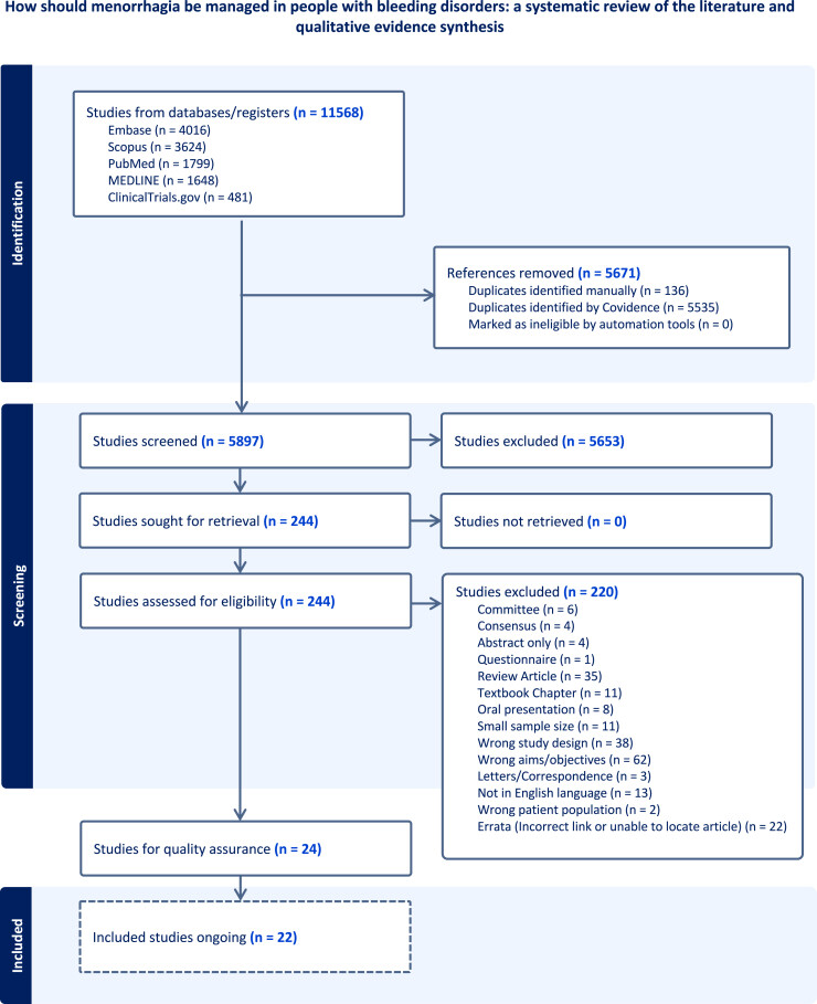
Diagramme de flux des éléments de rapport préférés pour les revues systématiques et les méta-analyses (PRISMA-P). Diagramme du processus de sélection des articles ayant abordé la prise en charge des personnes souffrant de saignements menstruels abondants et de troubles de la coagulation.
Conclusion
Combler les lacunes dans les connaissances sur la prise en charge des SUA, en particulier chez les personnes atteintes de MII, est essentiel pour améliorer le bien-être physique, mental et social. Bien qu'il existe des recommandations pour les personnes atteintes de SUA, les orientations pour celles atteintes de MII restent limitées.
Nous présentons ci-dessous cinq suggestions clés, issues de nos recherches, accompagnées de propositions de stratégies de mise en œuvre en milieu clinique.
1. DIU-LNG comme traitement de première intention
Le DIU-LNG est un traitement très efficace des SUA et devrait être envisagé en première intention chez les personnes atteintes de MICI, compte tenu de sa capacité à réduire significativement les pertes menstruelles tout en assurant un contrôle des symptômes à long terme. Bien que chaque patiente doive être évaluée individuellement en fonction de ses symptômes afin de déterminer si elle est éligible au DIU-LNG, il est de plus en plus prouvé que l'introduction de ce traitement plus tôt dans le parcours de soins, plutôt qu'en dernier recours après l'échec des autres traitements, permet un meilleur contrôle des symptômes. Elle permet aussi une amélioration de la qualité de vie. Retarder son utilisation jusqu'à une aggravation significative des symptômes peut entraîner une détresse prolongée et inutile chez les patientes.
Pour mettre en œuvre cette approche, les gynécologues devraient discuter proactivement du DIU-LNG comme option thérapeutique précoce, en plaçant des programmes de formation mettant l'accent sur la prise de décision partagée. Cela garantirait que les patientes comprennent les avantages et les effets secondaires potentiels de la pose précoce du DIU-LNG. De plus, un meilleur accès aux consultations spécialisées en soins primaires faciliterait une orientation rapide et une intervention plus précoce. Le DIU-LNG peut être utilisé comme contraceptif jusqu'à 8 ans selon la marque. Des conseils de base doivent être prodigués sur le profil des saignements attendu après la pose. Des saignements irréguliers peuvent survenir jusqu'à 6 mois après la pose et diminuent souvent à un jour léger de saignement par mois en un an.
2. L'utilisation de thérapies combinées
Chez les patients pour lesquels le DIU-LNG est inadapté ou insuffisant, une association d'anticoagulants, de desmopressine ou d'autres agents doit être envisagée. Cependant, les cliniciens doivent rester vigilants quant aux risques de thromboembolie veineuse associés à certains traitements. Pour ce faire, un algorithme thérapeutique clair et fondé sur des données probantes doit être élaboré, précisant quand et comment utiliser les associations thérapeutiques. Il est également pertinent d'intégrer des protocoles de stratification du risque dans les recommandations cliniques afin de garantir un équilibre judicieux entre efficacité et sécurité.
3. Renforcer le conseil et la communication entre spécialistes
La prise en charge des SUA chez les personnes atteintes de MICI ne se limite pas à la prescription d'un traitement adapté. Une communication ouverte et efficace entre les spécialistes et une approche centrée sur le patient sont tout aussi essentielles. Trop souvent, les patients se retrouvent coincés entre différentes spécialités, les gynécologues se concentrant sur la gestion des symptômes menstruels et les hématologues privilégiant les risques hémorragiques. Un manque de coordination peut entraîner des retards de traitement, des conseils contradictoires, voire des préoccupations négligées, ce qui impacte considérablement le bien-être du patient.
Pour offrir une prise en charge véritablement individualisée, il est essentiel d'aborder les options thérapeutiques en amont et d'intégrer des séances de conseil afin que les patients se sentent écoutés, compris et impliqués dans leur propre prise en charge. Pour réussir cette mise en œuvre, il est possible de mettre en place un système de communication centralisé qui rationaliserait la prise en charge et garantirait que les spécialistes soient constamment informés de l'état de santé du patient. Ce système pourrait être renforcé par des directives nationales explicites encourageant la collaboration entre gynécologues, hématologues et médecins généralistes, et pourrait être facilité par des cliniques communes. Plus concrètement, des mesures élémentaires, comme s'assurer que chaque patient dispose d'un interlocuteur désigné au sein de chaque spécialité et d'un accès à des plans de traitement écrits, pourraient considérablement améliorer sa confiance dans la gestion de sa maladie.
4. Sensibilisation par l'éducation du public et des patients
L'éducation est essentielle. Faute d'une sensibilisation suffisante du public, de nombreuses personnes atteintes de SUA tardent à consulter un médecin, pensant que leurs symptômes sont « normales » ou qu'elles doivent les supporter. Ce phénomène est encore plus marqué chez les personnes atteintes de MICI, pour qui un diagnostic tardif pourrait avoir de graves conséquences à long terme. Pour remédier à ce problème, une approche multidimensionnelle doit être mise en place.
Dans le cadre de cette approche, il sera également utile d'évaluer l'observance thérapeutique des patients. Comme le souligne l'étude de Dietrich et al. des iPods ou des technologies similaires pourraient être utilisés pour informer les patients sur leur état de santé. De plus, ces appareils peuvent faciliter la collecte de données en temps réel, permettant aux spécialistes de surveiller plus efficacement la santé des patients et d'identifier rapidement toute activité indésirable.
De plus, les cliniques et les hôpitaux pourraient mettre en place des supports plus conviviaux, tels que des dépliants, des ressources numériques et des guides visuels, destinés aux personnes présentant des symptômes de SUA. Les réseaux sociaux et les programmes de sensibilisation communautaire pourraient également jouer un rôle important, notamment pour atteindre les jeunes qui, autrement, ne chercheraient peut-être pas d'aide. Une collaboration avec les écoles et les services de soins primaires pourrait renforcer la sensibilisation, garantissant que les conversations sur la santé menstruelle soient normalisées plutôt que stigmatisées. Il est indispensable de reconnaître que, si ces initiatives sont cruciales, nous ne disposons actuellement d'aucune preuve concrète prouvant que les campagnes de sensibilisation conduisent directement à de meilleurs résultats. Néanmoins, donner aux personnes les connaissances nécessaires pour reconnaître leurs symptômes et consulter rapidement peut faire une différence significative, tant en améliorant les résultats individuels qu'en réduisant le fardeau des diagnostics tardifs.
5. Nécessité de recherches et de discussions plus approfondies
Malgré les traitements existants, des lacunes subsistent dans la compréhension des implications plus larges de la prise en charge des SUA chez les personnes atteintes de MICI. Des recherches supplémentaires sont nécessaires sur les résultats à long terme des traitements, leurs effets secondaires, l'impact des différentes thérapies sur la santé mentale et les défis logistiques liés à la mise en œuvre de nouvelles recommandations en milieu clinique. Les études futures devraient privilégier la recherche centrée sur le patient, notamment les études longitudinales évaluant l'observance du traitement, la satisfaction et la qualité de vie. La recherche devrait également explorer en permanence les thérapies innovantes et les alternatives non hormonales afin de proposer des options thérapeutiques plus personnalisées. Globalement, il est crucial de mener des recherches plus ciblées pour optimiser les options thérapeutiques, favoriser un diagnostic précoce et améliorer les stratégies globales de prise en charge.
Les SUA sont à la fois un symptôme et une affection en soi, qu'il convient de mieux comprendre théoriquement grâce à des analyses régulières afin de mieux explorer leur prise en charge concrètement clinique. Sur la base des données extraites, des recommandations devraient être mises en place pour que les médecins généralistes suivent les recommandations du NICE lorsqu'ils rencontrent un patient atteint de MICI présentant des SUA. Nos recommandations s'appuient sur les recommandations actuelles des gynécologues, qui devraient être partagées avec les hématologues traitant les patients atteints de MICI.
L' essentiel
Les patients atteints de troubles de la coagulation peuvent éprouver des difficultés en raison des SUA.
Une revue systématique et une synthèse thématique ont identifié les meilleures pratiques de gestion pour les patients atteints de SUA.
Les meilleures pratiques thérapeutiques peuvent contribuer à améliorer la qualité de vie des patients atteints d’AUB.
Le système intra-utérin libérant du lévonorgestrel est recommandé, suivi d'une thérapie combinée.
RESUME GENERATIF
Cet article porte sur la gestion des saignements utérins anormaux chez les personnes atteintes de troubles de la coagulation.
Gestion des saignements utérins anormaux
Cette étude examine la gestion des saignements utérins anormaux (AUB) chez les personnes atteintes de troubles de la coagulation héréditaires (IBD) à travers une revue systématique de la littérature.
- * L'AUB est définie comme tout saignement utérin qui dévie de la norme en termes de régularité, de durée ou de volume.
- * Les troubles de la coagulation héréditaires peuvent causer des saignements menstruels abondants, mais il n'existe pas de consensus clair sur leur gestion.
- * L'étude a inclus 13 études avec plus de 893 participants, identifiant des traitements efficaces pour l'AUB chez les personnes avec IBD.
Traitements recommandés pour l'AUB
Cette section met en avant les traitements efficaces identifiés pour gérer l'AUB chez les personnes atteintes d'IBD.
- * Le système intra-utérin libérant du lévonorgestrel (LNG-IUS) est recommandé comme traitement de première ligne.
- * L'utilisation du LNG-IUS a conduit à une aménorrhée chez de nombreux patients.
- * D'autres traitements comme l'acide tranexamique et le DDAVP sont également efficaces et peuvent être utilisés en combinaison.
Impact de l'AUB sur la qualité de vie
Cette partie aborde comment l'AUB affecte la qualité de vie des personnes atteintes d'IBD.
- * L'AUB peut avoir un impact significatif sur la qualité de vie physique, sociale et émotionnelle des patients.
- * Les études montrent que l'insertion du LNG-IUS améliore la qualité de vie, avec des scores de santé améliorés dans plusieurs domaines.
- * Les patients souffrant d'AUB sont à risque accru d'anémie ferriprive, ce qui peut aggraver leur qualité de vie.
Besoin d'une meilleure communication
Cette section souligne l'importance d'une communication efficace entre les spécialistes impliqués dans la gestion de l'AUB et des IBD.
- * Une meilleure communication entre les équipes de soins est essentielle pour déterminer le risque de saignement et la nécessité de prophylaxie hémostatique.
- * La création d'un registre national pour standardiser la collecte de données menstruelles est proposée pour améliorer la gestion de l'AUB.
- * Les patients doivent être impliqués dans les discussions concernant leurs options de traitement.
Recommandations pour la recherche future
Cette partie appelle à une recherche accrue et à une sensibilisation autour de la santé gynécologique et de l'AUB chez les personnes atteintes d'IBD.
- * Il existe un besoin urgent d'augmenter le financement et la recherche dans ce domaine sous-exploré.
- * Des approches innovantes, comme l'utilisation de dispositifs électroniques pour surveiller la conformité au traitement, sont explorées.
- * L'éducation et la sensibilisation sur les options de traitement doivent être renforcées pour améliorer les résultats pour les patients.
Gestion de l'AUB chez les patients atteints d'IBD
Cette revue explore la gestion des saignements menstruels anormaux (AUB) chez les individus atteints de maladies inflammatoires de l'intestin (IBD). - Trois études ont fourni des données sur le taux d'aménorrhée après traitement, mais certaines études n'ont pas quantifié les saignements. - Les directives NICE ne proposent que deux traitements non hormonaux pour l'AUB, sans mentionner les IBD comme cause. - Il existe un manque de directives sur la gestion de l'AUB chez les patients atteints d'IBD, ce qui crée un vide de connaissances. - La communication entre spécialistes est essentielle pour une prise en charge efficace des patients.
Limitations de l'étude
Cette revue présente plusieurs limitations qui peuvent affecter la généralisation des résultats. - Certaines études ont été exclues, limitant la portée des résultats. - L'inclusion des patients atteints d'IBD n'était pas toujours claire, entraînant l'exclusion de certaines études. - Les études sur les troubles de la fonction plaquettaire ont été regroupées, ce qui pourrait introduire de la variabilité. - Le manque de données détaillées sur les résultats des patients a restreint l'analyse des résultats.
Recommandations pour la gestion de l'AUB
Des recommandations clés sont proposées pour améliorer la gestion de l'AUB chez les patients atteints d'IBD. - Le système intra-utérin à libération de lévonorgestrel (LNG-IUS) devrait être considéré comme traitement de première ligne pour réduire les saignements menstruels. - Une thérapie combinée avec des agents comme l'acide tranexamique (TA) devrait être explorée pour les patients ne répondant pas au LNG-IUS. - La communication entre spécialistes doit être renforcée pour assurer une approche centrée sur le patient. - Des campagnes de sensibilisation et d'éducation sont nécessaires pour informer le public sur l'AUB et les IBD. - Il est crucial de mener davantage de recherches sur les résultats à long terme et les impacts des traitements sur la qualité de vie.
Conclusion sur la gestion de l'AUB
Il est essentiel de combler les lacunes de connaissances concernant la gestion de l'AUB chez les individus atteints d'IBD. - Les recommandations doivent être intégrées dans les pratiques cliniques pour améliorer les résultats des patients. - L'accent doit être mis sur l'éducation des patients et la sensibilisation du public pour encourager la recherche d'un traitement. - Une approche collaborative entre les professionnels de santé est nécessaire pour optimiser la prise en charge des patients.
SYNTHÈSE
Cet article de revue systématique examine la gestion des saignements utérins anormaux (SUA) chez les personnes atteintes de troubles hémorragiques héréditaires (THH), un domaine où le consensus clinique est limité. Les auteurs ont analysé la littérature publiée de 2000 à 2024, identifiant treize études pour la synthèse thématique. Les résultats suggèrent fortement que le système intra-utérin libérant du lévonorgestrel (SIU-LNG) est un traitement de première ligne efficace pour le contrôle des symptômes du SUA dans ce groupe de patients. En cas d'inadéquation du SIU-LNG, une thérapie combinée impliquant des agents comme l'acide tranexamique ou la desmopressine est recommandée. L'étude met également en évidence la nécessité d'une meilleure communication entre les spécialistes et de recherches futures pour affiner les stratégies de gestion et améliorer la qualité de vie des patients.
Commentaire
Il existe un consensus limité, mais il ne faut pas sous-estimer les qualités de l'acide tranéxamique pour les saignements mentionnés précédemment.
A LIRE
Règles hémorragiques
https://www.larevuedupraticien.fr/article/regles-hemorragiques

